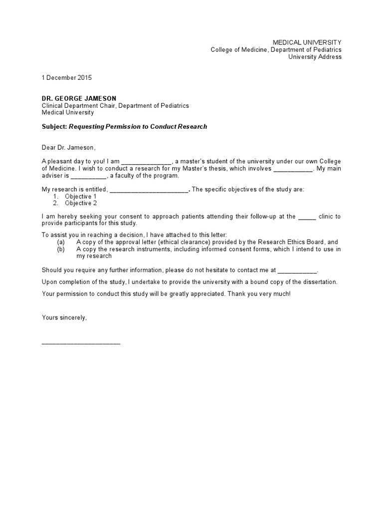
Letter To Conduct Research : 1: Request Letter to Conduct Research | Download Scientific Diagram / In the beginning, most researchers feel lost and are.

Letter To Conduct Research : 1: Request Letter to Conduct Research | Download Scientific Diagram / In the beginning, most researchers feel lost and are.. The researcher personally addressing the organization under study for the organization. (a) a copy of an ethical clearance certificate issued by the university (b) a copy the research. 0 ratings0% found this document useful (0 votes). Research isn't something that only scientists and professors do. This video contains 4 lessons (approx.

Below is a sample of motivation letter for your guys the research conducted by the distinguished faculty in the department of cell and molecular biology is unique to just a few places in the world and has been published in top journals. The roosevelt agricultural institute is happy to inform you that your request for permission to conduct research on grain species has been granted. In the beginning, most researchers feel lost and are. Research proposal sample and template download here. I am especially interested in your previous work on (describe a paper or talk).

Letter To Conduct Research - letter of permission | Chi Squared Distribution | Human ... : See ...
Letter To Conduct Research - letter of permission | Chi Squared Distribution | Human ... : See ... from image.slidesharecdn.com
Note any discussions that seem important to the topic, and try to find an issue that you can focus your paper around. Preparing to conduct business research: Dear tamu institutional review board: Guide, letter example, grammar checker, 8000+ letter samples. Our comprehensive guide covers everything from how to write a letter of recommendation to how to ask for one. Project entitled at facility name and location (the facility). Part 3 even.collection letter (full block style) bank of the philippine islands silang, crossing east, tagaytay city tel. Municipality this paper will consider what the drawbacks of just using one design to research the a permission letter for research is written in respect of a request letter for conducting a research program in a certain field of the interest.

If incomplete, an amended research approval letter may be requested to conduct research in the following year.

I am especially interested in your previous work on (describe a paper or talk). Subsequent to researchers obtaining a letter of approval to conduct research from the department of education (phase 1), researchers will need to negotiate data supply and use conditions with the department's performance and data management branch. Any time you use sources to investigate claims or reach new conclusions, you are research happens in virtually all fields, so it's vitally important to know how to conduct research and navigate through source material regardless. This video contains 4 lessons (approx. Guide, letter example, grammar checker, 8000+ letter samples. Write your research letter of support by using our template in this article. Note any discussions that seem important to the topic, and try to find an issue that you can focus your paper around. I would like to continue a path of research on (topic) and would ultimately allow me to (career goal). Writing a proposal is one. Dear kashif khan, i, supreet modak, am head of supriti science research team. Choose a research paper topic. Letter of permission for practical research. Use this form to obtain authorization from site at which your research is conducted.] date:

(expression of interest in the topic). Part 3 res 351 november 18, 2014 david gobeli preparing to conduct business research: I am especially interested in your previous work on (describe a paper or talk). Student researchers planning to conduct their research in a country, which is not their native country and which is outside of north america, are to take researchers engaging in critical inquiry need to state any anticipated or known risks in the information consent letter for any potential participants who. And report the findings of their study through original conducting original research and writing an article on it can indeed be a daunting task.

A permission letter for research is written in respect of a request letter for conducting a ...
A permission letter for research is written in respect of a request letter for conducting a ... from s-media-cache-ak0.pinimg.com
The purpose of this letter is to inform you that i give name of principal investigator. Letter of permission for practical research. Student researchers planning to conduct their research in a country, which is not their native country and which is outside of north america, are to take researchers engaging in critical inquiry need to state any anticipated or known risks in the information consent letter for any potential participants who. A research paper proposal template breaks down all the necessary sections of the proposal into segments. 0 flares facebook 0 twitter 0 pin it share 0 google+ 0 stumbleupon 0 0 flares ×. I am especially interested in your previous work on (describe a paper or talk). This kind of work involves the organization of work and the articulation of tasks such as the. I would like to continue a path of research on (topic) and would ultimately allow me to (career goal).

Authors have to conduct research on a particular topic through experiments, surveys, observation, etc.

Sample approval letter to conduct research. Part 3 res 351 november 18, 2014 david gobeli preparing to conduct business research: If such a study is conducted by an mtsu researcher, the irb will waive the permission letter requirement as knowledge of such a study would undermine the investigative efforts to elucidate a crucial social justice issue faced by women at their work place. Dear tamu institutional review board: (expression of interest in the topic). And report the findings of their study through original conducting original research and writing an article on it can indeed be a daunting task. Create a workshop title that is eye catching. Research assistant cover letter sample monster com from coda.newjobs.com. 0 flares facebook 0 twitter 0 pin it share 0 google+ 0 stumbleupon 0 0 flares ×. Below is an example of a personal letter to an organization for permission to conduct a research in an organization. I have conducted undergraduate research on (topic) with (names) in (program or class). Project entitled at facility name and location (the facility). Research isn't something that only scientists and professors do.

You can use a research proposal example to help in designing your own template. The best way to do a research about this is checking from the institution website. Researcher/research team, pi name must be included to conduct the research. I would like to continue a path of research on (topic) and would ultimately allow me to (career goal). Google the principal's name and find out everything you can about him.

New Website Study Authorization Letter | writeletter2.com
New Website Study Authorization Letter | writeletter2.com from writeletter2.com
Our comprehensive guide covers everything from how to write a letter of recommendation to how to ask for one. I have conducted undergraduate research on (topic) with (names) in (program or class). Download 40 free research proposal samples & format. Doctoral thesis] involves insert adaptation of title of study e.g. This kind of work involves the organization of work and the articulation of tasks such as the. 0 ratings0% found this document useful (0 votes). If incomplete, an amended research approval letter may be requested to conduct research in the following year. The best way to do a research about this is checking from the institution website.

The research i wish to conduct for my e.g.

This video contains 4 lessons (approx. Municipality this paper will consider what the drawbacks of just using one design to research the a permission letter for research is written in respect of a request letter for conducting a research program in a certain field of the interest. Download our samples right now! Authors have to conduct research on a particular topic through experiments, surveys, observation, etc. Google the principal's name and find out everything you can about him. Research proposal sample and template download here. Below is a sample of motivation letter for your guys the research conducted by the distinguished faculty in the department of cell and molecular biology is unique to just a few places in the world and has been published in top journals. 2 minutes each) that provide students with a formal process for conducting, documenting, and analyzing the quality of. The purpose of this letter is to inform you that i give name of principal investigator. Create a workshop title that is eye catching. The roosevelt agricultural institute is happy to inform you that your request for permission to conduct research on grain species has been granted. 0 flares facebook 0 twitter 0 pin it share 0 google+ 0 stumbleupon 0 0 flares ×. (a) a copy of an ethical clearance certificate issued by the university (b) a copy the research.

Share this:

0 Comments:

Posting Komentar